0 Daumen
24 Aufrufe

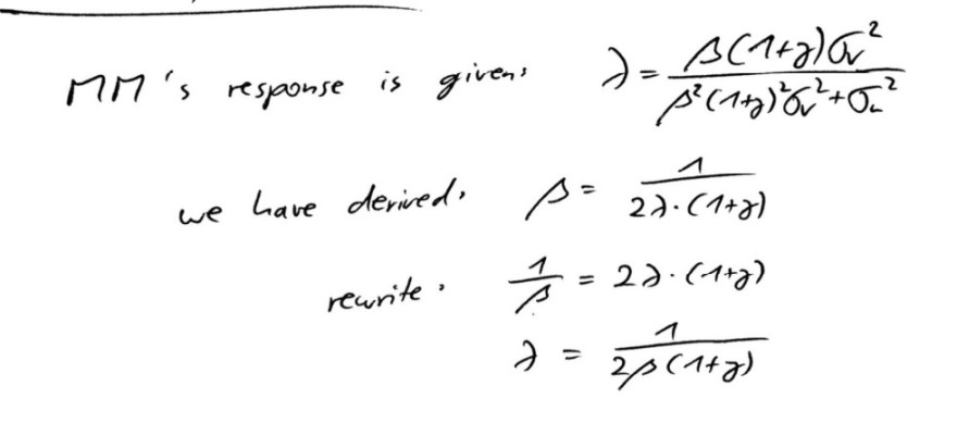
ich habe beta und lambda gegeben und möchte auf das vereinfachte Lambda von unten kommen. Mir fehlen die Zwischenschritte und ich verstehe nicht, wie man darauf käme... also wie ich wo umformen muss...

\(\displaystyle \beta=\frac{1}{2 \lambda+2 \lambda \gamma} \)

\(\displaystyle \lambda=\frac{\beta(1+\gamma) \sigma_{v}^{2}}{\beta^{2}(1+\gamma)^{2} \sigma_{v}^{2}+\sigma_{u}^{2}} \)


Worauf ich kommen muss:

\(\displaystyle \lambda=\frac{1}{2 \beta(1+\gamma)} \)

Ich würde mich über eine Erklärung der Zwischenschritte sehr freuen, danke!

Avatar vor von

1 Antwort

+2 Daumen
 
Beste Antwort

Löse \(\beta\) doch einfach nach \(\lambda\) auf.

Kehrwert bilden, \(\lambda\) ausklammern, durch \(2+2\gamma=2(1+\gamma)\) dividieren.

Avatar vor von 22 k

Ach ja ich sehe es. Dass die andere Gleichung mit lambda noch gegeben war war für den Schritt hier verwirrend. Ich hätte nämlich dort angefangen, beta einzusetzen, und wüsste nicht, wie ich auf dieses Lambda ganz unten komme... aber ja, jetzt sehe ich die Lösung. Danke

blob.png

Also die 1. Zeile hätte man doch echt nicht gebraucht
Mann sind diese Notizen nur verwirrend :D

Ein anderes Problem?

Stell deine Frage

Willkommen bei der Mathelounge! Stell deine Frage einfach und kostenlos

x
Made by a lovely community