Danke für die Antwort. Wie erwähnt, handelt es sich um einen Aufgabenteil aus Diophants Arithmetik, d.h. V, 17. Anbei A. Czwalinas Übertragungstext.
Text erkannt:
\( 2916 x^{2}=225, \text { also } x=\frac{15}{64} \)
So ist die Aufgabe gelost.
16. Es sind drei Zahlen von der Art zu finden, daß der Kubus der Summe der drei Zahlen, vermindert um eine jede einzelne der Zahlen, einen Kubus ergibt.
Es werde wiederum die Summe der drei Zahlen gleich \( x \) gesetzt, und die Zahlen selbst seien \( 7 x^{3}, 26 x^{3}, 63 x^{3} \).
Es bleibt die Forderung zu erfüllen, daß die Summe der drei Zahlen gleich \( x \) gesetzt wird. Dann ergibt sich eine Gleichung von der Art \( p x^{3}=x \) oder \( p x^{2}=1 \), wo \( p \) eine gewisse Zahl ist.
Es wird dann also notwendig sein, daß diese Zahl \( p \) ein Quadrat ist. Woher stammt diese Zahl \( p \) ? Sie ist der Überschuß der Zahl 3 gegenüber der Summe dreier Kuben, deren jeder kleiner ist als 1.
17. Es sind drei Zahlen von der Art zu finden, daß der Kubus der Summe der drei Zahlen, von jeder einzelnen der drei Zahlen subtrahiert, einen Kubus ergibt.
Es werde wiederum die Summe der drei Zahlen gleich \( x \) gesetzt, und die drei Zahlen seien \( 2 x^{3}, 9 x^{3}, 28 x^{3} \).
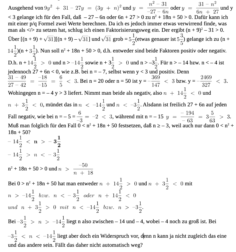
Man hätte nun die Summe der drei Zahlen gleich \( x \) zu setzen. Diese Summe aber ist \( 39 x^{3} \). Es ergibt sich also \( 39 x^{3}=x \) oder \( 39 x^{2}=1 \). Wenn nun 39 ein Quadrat wird, so wäre die Aufgabe gelost. 39 ist die um 3 vermehrte Summe von drei Kuben. Man muß also drei Kuben finden, deren um 3 vermehrte Summe ein Quadrat ist. Es werde die Wurzel des ersten Kubus gleich \( y \), die des zweiten Kubus \( 3-y \), die des dritten Kubus gleich einer beliebigen Zahl, zum Beispiel gleich 1 gesetzt. Dann wird die Summe der drei Kuben \( 9 y^{2}+28 -27 y \). Wenn 3 addiert wird, ergibt sich \( 9 y^{2}-27 y+31 \). Dieser
87
Ausdruck sei das Quadrat von ( \( 3 y-7 \) ). Dann wird \( y=\frac{6}{5} \). Dann wird die Wurzel des ersten Kubus \( \frac{6}{5} \), die des zweiten Kubus 9, die des dritten Kubus gleich 1 sein.
Zum Kubus einer jeden dieser Zahlen addiere ich 1 und kehre zur ursprünglichen Aufgabe zurück. Ich setze also die gesuchten Zahlen gleich \( p x^{3} \), wobei die Größen \( p \) die gefundenen Zahlen sind. Die Summe der drei Zahlen aber setze ich gleich \( x \). Die Summe der drei Zahlen ist aber \( \frac{289}{25} x^{3} \). Es ergibt sich \( x=\frac{5}{17} \). So ist die Aufgabe gelöst.
ein Quadrat gibt. Es wird also nötig sein, 22 in drei Quadrate zu zerlegen, deren jedes größer ist als 6 ; und, wenn wir von 8 eine jede der drei Zahlen abziehen, so werden wir die gesuchten drei Zahlen erhalten. Das aber haben wir vorher gezeigt, wie 22 in drei Quadrate zerlegt weden kann, deren jedes größer ist als 6.
20. Ein gegebener Bruch ist in drei Summanden zu zerlegen, so daß jeder Summand, vermindert um den Kubus der Summe, ein Quadrat gibt.