0 Daumen
379 Aufrufe

Aufgabe:

Ist dieser Beweis korrekt, bzw ist der vollständig?

(Das Thema ist erst neu, deshalb muss der Beweis nicht so kompliziert oder ähnlich sein, Hauptsache er ist korrekt)


Wenn er nicht korrekt ist was fehlt oder was ist schlecht an dem Beweis?


Hab oben n ist eine natürliche Zahl vergessen

blob.png


Avatar vor von

Bei der Annahme ist das ‚existiert n‘ überflüssig/falsch, hier wird für n=1 geprüft.

Bei IV schreibt man nur eine, meistens die linke, Seite der gewünschten Aussage hin und nicht das gesuchte Endergebnis (…. = 0), was du ja erst zeigen sollst.

Dann wird die linke Seite umgeformt bis man die rechte Seite (hier 0) erhält. Wenn du also die ersten drei =0 wegläßt und nur umformst paßt es.

Soll das ein Beweis sein, dass n² + n eine gerade Zahl ist, also ohne Rest durch 2 teilbar ist?

Es gilt

n² + n = n * (n + 1)

Da n und n + 1 zwei aufeinanderfolgende natürliche Zahlen sind, ist genau eine gerade und die andere ungerade.

Ein Produkt ist durch 2 teilbar, wenn mind. einer der Faktoren durch 2 teilbar (gerade) ist.

Oder sollt ihr das unbedingt über vollständige Induktion machen?

Ansonsten hier der Induktionsschritt

(n + 1) * (n + 2) = (n + 1) * n + (n + 1) * 2

(n + 1) * n ist durch die Induktionsannahme gerade.
(n + 1) * 2 enthält den Faktor 2 und ist damit gerade.

Die Summe zweier gerader Zahlen ist wieder eine gerade Zahl.

Nochmal: Arbeite mit den Vorlesungsunterlagen. Da gibt es sicher ein Muster für eine saubere Induktion. An Deiner Variante ist einiges formal nicht korrekt (einiges wurde oben schon erwähnt, aber nicht alles). Und, wenn es nicht kompliziert sein soll, warum arbeitest Du dann mit modulo und nicht mit Teilbarkeit durch 2?

n2+n=n(n+1). Von zwei unmittelbar aufeinanderfolgenden natürlichen Zahlen ist genau eine gerade. Ein Produkt mit einem geraden Faktor ist durch 2 teilbar.

Arbeite mit den Vorlesungsunterlagen.

Naja, die Vorlesungsunterlagen sind nicht gerade die besten vom Prof bzw. es gibt kein richitges Skript.

Deiner Variante ist einiges formal nicht korrekt

An dem Formal Ding kann man ja noch arbeiten Hauptsache das Verständnis für das Thema ist da, der Rest ist ja nur ein "Feinschliff".

einiges wurde oben schon erwähnt, aber nicht alles). Und, wenn es nicht kompliziert sein soll, warum arbeitest Du dann mit modulo und nicht mit Teilbarkeit durch 2

Das steht so im "Skript"

Bei der Annahme ist das ‚existiert n‘ überflüssig/falsch, hier wird für n=1 geprüft.

Aber da steht ja es existiert ein n für dass, das die Aussage korrekt ist als für n = 1

Würde man das trotzdem ganz weglassen, oder wie würdest du es korrekt aufschreiben?

Ah, sorry, vermutlich soll das die Ind. Annahme sein, dann schreib Ind. Annahme davor, dann ist es eindeutig.

Das mit dem "existiert" ist schon in Ordnung, aber es fehlt "Ind. Vor.:" davor.

Wenn die Vorlesungsunterlagen nicht brauchbar sind, gibt es ja noch Beispiele im Internet. Nutze die! Ein brauchbares Muster findest Du z.B. hier https://www.math.tugraz.at/~ganster/lv_differenzialrechnung/02_vollstaendige_induktion.pdf

Ergänze dort aber bei der Ind. Vor. noch "für ein \(n\in N\)" dahinter.

Lasse nichts weg. Und auch erneut: Lies Deinen Beweis laut. Dann merkst Du sofort, was fehlt.

Okay, weil ich habe es in paar Büchern/Videos gesehen, dass das so gemacht wird bzw. so blob.png

Das ist zwar eine andere Aufgabe zur Induktion wo man den „kleinen Gaus“ beweisen tut, aber wenn du sagst, dass das falsch ist vertraue ich dir da mal, du du hast ja letztendlich Mathe studiert (geh ich mal davon aus)

Das, was Du aus Büchern/Videos hast, die obige Zeile, ist völlig korrekt und sollte auch in einem ordentlichen Beweis so stehen. Tut es aber bei Dir nicht.

Ja, an dem Formalen Dinger muss ich noch arbeiten, das IV steht bei nicht davor, wusste nicht das es notwendig ist, jetzt weiß ich es aber danke euch für die Hilfe

Nochmal: Wenn Du Muster hast, halte Dich daran, lasse nichts(!!!) weg. Und lies laut. Damit kannst Du schon deutliche Fortschritte erzielen.

Noch eine kleine Frage bezüglich Beweise, ist es eigentlich Ansichtssache ob eine Beweis korrekt ist z. B. sagt Prof A ja der Beweis ist korrekt und Prof B sagt Nein ist nicht korrekt, weil bei meinem letzten Post hat einer geschrieben, man muss da kreativ sein beim Beweisen.

Bei 1 + 1 = 2  z. B. kann man ja nicht sagen ist falsch ist das genauso auch bei Beweisen bei der Induktion?

An alle bisherigen Kommentatoren:

Stößt sich denn wirklich keiner daran, dass das erste Wort der Aufgabe "Axiom" ist?

Wer ein Axiom beweisen will hat die Bedeutung von "Axiom" nicht so richtig verinnerlicht.

Wenn die mathematischen Schlussfolgerungen korrekt sind und man damit die Aussage zeigen kann, passt das so. Da gibt es keine Ansichtssache. Es gibt allerdings nicht DEN einen Weg, etwas zu beweisen. Aber die logische Struktur muss eben passen und dazu gehört ein vernünftiger Formalismus, oder das, was du Feinschliff nennst.

@MC und Roland: Am Thema vorbei. Es wurde explizit nach dem Beweis des FS gefragt. Eure Ausführungen interessieren da niemanden!

@abakus Ich hatte oben schon gesagt, dass bisher nicht alle Fehler erwähnt worden sind. Einer davon ist natürlich, dass gleich das erste Wort falsch ist.

@nudger

\(x \mapsto 2x^2 + 1\)

 \(f(x) = 2x^2 + 1\)

Kurze Frage, bedeutet \(x \mapsto 2x^2 + 1\) das gleiche wie \(f(x) = 2x^2 + 1\) mich irritiert irgendwie der Pfeil und das x davor?


ℝ ↦ ℝ>0

Und das bedeutet, dass ich alle Rellen zahlen in die Funktion eingeben kann aber es muss eine Postive reellen Zahlen rauskommen oder?

Es geht um das Thema bijektiv injektiv usw.?

\(x \mapsto 2x^2 + 1\)

bedeutet: \(x\) wird abgebildet auf \(2x^2+1\).

Das kann man nutzen, um die Abbildungsvorschrift anzugeben, ohne eine Funktion explizit beim Namen zu benennen, zum Beispiel \(f\). Die Funktionsgleichung \(f(x)=2x^2+1\) beschreibt dieselbe Funktion, die \(f\) heißt (unter der Annahme, dass in beiden Fällen der Definitionsbereich identisch ist, weshalb man ihn also stets angeben sollte).

Die Schreibweisen

\(f\colon\mathbb{R}\to\mathbb{R},\, f(x)=2x^2+1\)

\(f\colon\mathbb{R}\to\mathbb{R},\, x\mapsto 2x^2+1\)

sind beide geläufig.

Man kann einerseits sagen:

Die Funktion \(f\) mit der Funktionsgleichung \(f(x)=2x^2+1\) ist nicht injektiv auf \(\mathbb{R}\).

Andererseits:

Die Abbildung \(x\mapsto 2x^2+1\) ist nicht injektiv auf \(\mathbb{R}\). Hier hat die Abbildung keinen Namen.

ℝ ↦ ℝ>0

Die reellen Zahlen werden auf die positiven reellen Zahlen abgebildet. Hier würde man allerdings eher \(\mathbb{R}\to \mathbb{R}^{>0}\) schreiben, also den anderen Pfeil nutzen, da es sich hier um Mengen handelt.

apfelmännchen hat alles schon erklärt.

Die Qualität Deines Profs sei mal dahingestellt, aber diese Dinge werden normalerweise im Vorkurs (wenn nicht schon auf der Schule) erklärt, und da war doch eine andere Lehrkraft am Werk, oder nicht?!

(wenn nicht schon auf der Schule)

Ist schon bisschen her das ich in der Schule war.

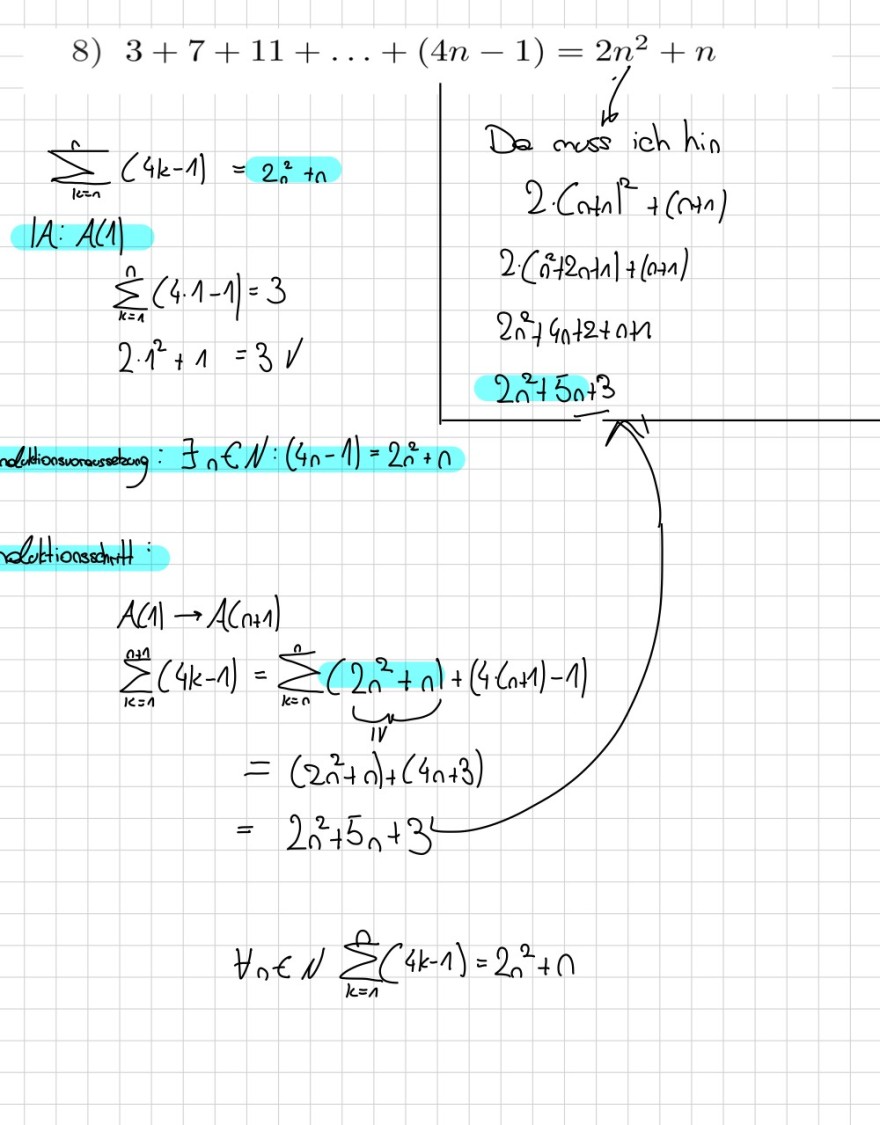
Könntet ihr eventuell hier nochmal drüber schauen bitte ob das so passt ?

blob.png

Und eine wichtige Frage für mich, das Summenzeichen verwende ich hier in meinem Leben das erste mal, habe das noch nie gebraucht, würdet ihr bei solchen Aufgaben wie hier z. B. wenn ich zeigen muss das die beiden das selber Ergebnis haben, diese Summenzeichen verwenden oder ohne machen es geht ja auch ohne.

Habe versucht alle Tipps umzusetzen aber der Kasten oben rechts lässt mich noch Zweifel ob das so korrekt ist, im Beweis weil ich habe das nur gemacht um zu schauen wo ich am Ende hin muss.

In der Prüfung würde ich natürlich ohne Kommentar oder Pfeile abgeben, Hauptsache ich habe mehr als die Hälfte der Punkte da

Wenn Du mit dem Summenzeichen nicht vertraut bist, warst Du auch nicht im Vorkurs, nehme ich an?! Diese Dinge wirst Du alle nachholen müssen, parallel zum sich auftürmenden Vorlesungsstoff.

In Deinem "Beweis" ist einiges falsch, was mit sorgfältigem Lesen und Schreiben und Befolgen der Tipps vermeidbar wäre.

Nochmal: Ind.Anf.: dies ist für n=1 nachzuweisen (falsch eingesetzt, Summenzeichen nicht verstanden).

Ind. Vor. (oder Ind. Ann.): Ist die abgeschriebene allgemeine Behauptung, nur mit "für ein \(n\in N\) gilt" davor. Also eine reine Schreibübung (hat nicht geklappt bei Dir).

Ind. Beh.: fehlt komplett. Schreib die auf (sorgfältig, auf jedes einzelne Zeichen achtend). Dann siehst Du auch, wo Du hinmusst und brauchst keine Kästen mit Pfeilen auf dem Zettel.

Ind. Schritt: "A(1)..." falsch abgeschrieben, die Zeile ist aber ohnehin nicht nötig.

Man fängt mit der komplizierteren Seite der Ind.Beh. an (die steht ja darüber bei geordneter Vorgehensweise) und formt die unter Benutzung der Rechenregeln und der Ind. Vor. solange um, bis die andere Seite der Ind.Beh. entsteht.

Das Summenzeichen ist keine Deko, die man (so wie Du) mal hinschreibt und mal weglässt. Übe das mit Vorkurs-Büchern/Videos/Online-Tutorials.

Ein anderes Problem?

Stell deine Frage

Willkommen bei der Mathelounge! Stell deine Frage einfach und kostenlos

x
Made by a lovely community