+1 Daumen
2,7k Aufrufe

Ich habe viel versucht diese Aufgabe zu lösen. .jedoch ohne Erfolg. .ich weiß nicht mehr weiter kann jemand mal drüber schauen und mir sagen was ich falsch gemacht habe ..eine Musterlösung oder Vorangehensweise wäre auch super .Ich  Bild Mathematik Bild Mathematik Bild Mathematik

Avatar von

Achtung! Der Doppelpunkt ist kein "Gleich". Er bedeutet "unter der Bedingung". Statt : wird häufig auch | verwendet.

Bei (1) ist die Menge aus der die Paare (t1|t2) stammen dürfen nur die Strecke (0|1) bis (1|0) inklusive die Randpunkte der Strecke. Diese Menge musst du eigentlich gar nicht zeichnen. Du kannst umrechnen t2 = 1 - t1 und schreiben

S = { t p1 + (1-t) p2 | t Element [0,1] }

Zu zeichnen ist dann die Menge S. D.h., was sich ergibt, wenn du die  Werte von t in den Term vor dem Doppelpunkt einsetzt. 

Das ergibt dann die Strecke p1 p2 (inkl. Randpunkte). Es genügt, wenn du zuerst t=0 und dann noch t = 1 nimmst, die Punkte einzeichnest und sie mit dem Lineal verbindest.

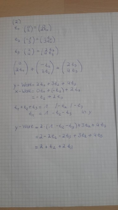
(2) geht im Prinzip gleich. Müsste eigentlich ein Dreieck geben mit den Ecken p1 p2 und p3. Rechne das aber noch konkret durch! Und teste mit z.B. t1 = 0.5, t2 = 0.25, t3 = 0.25 usw., ob da nur die Dreiecksseiten oder allenfalls noch das Innere des Dreiecks mit dabei sind. 

Ich komme nicht weiter ..kannst du mir bitte helfen ? Das habe ich bisher gemacht. ..

Wie mache ich Teilaufgabe 3 ?ich weiß ehrlich  nicht wie das aussehen soll

DankeBild Mathematik Bild Mathematik

(1) ist doch fertig. Du darfst deine Strecke nicht zu lang zeichnen. mathef hat dir eine Zeichnung geschickt, in der S rot eingezeichnet ist. Mehr rechnen als ich oben gerechnet habe, ist bei (1) unnötig.

(2) machst du dir auch zu kompliziert.

Könntest du mir vielleicht Tipps geben ?

1 Antwort

+1 Daumen

Das ist eine Vektorgleichung

t1 * 0      =          0
      2                 2t1

und entsprechend

t2 * -1      =        - t2 
       3                 3t2

und dann addieren gibt alle Punkte der Form

        0           +       - t2 
         2t1                3t2

also mit y- Wert  2t1        +        3t2   und x- Wert      0           +       - t2

also  x =     - t2   und  y =  2t1        +        3t2

und    t1  +     t2  = 1    

        also    t1  = 1   -  t2  und damit    y =  2(1   -  t2  ) +   3t2   =  2 +   t2

    wegen x =     - t2  hast du  y = 2   -  x  .

Das ist eine Geradengleichung.  aber wegen x zwischen -1 und 0 nur die Strecke

~draw~ strecke(0|2 -1|3);zoom(10) ~draw~

Bei (2) setze mal jeweils eines von t's gleich 1 und die naderen beiden je 0,

dann hast du genau die 3 gegebenen Punkte.  Für die anderen t-Werte ergeben sich 

die Punkte im Inneren des Dreiecks.  

Avatar von 289 k 🚀

Ich komme nicht weiter ..kannst du mir bitte helfen ? Das habe ich bisher gemacht. ..

Wie mache ich Teilaufgabe 3 ?ich weiß ehrlich  nicht wie das aussehen soll Bild Mathematik Bild Mathematik

Ein anderes Problem?

Stell deine Frage

Willkommen bei der Mathelounge! Stell deine Frage einfach und kostenlos

x
Made by a lovely community